让学习更有趣、更有效
VIP会员
向上商城
网站地图
向上网APP
我的练习
翻转课堂
专项训练
速算英雄
英漫PARTY
科学实验
作文园地
天赋秀场
寒假特训营
网站地图
更多精彩
我的空间
班级空间
向上网APP
向上网
>
天赋秀场
>
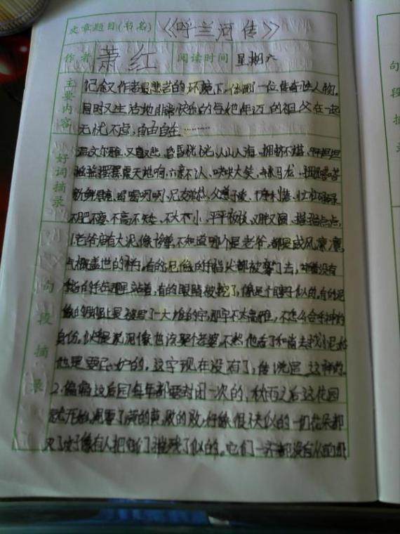
书法作品
杜琳霞
六年级
邵家渡中心校
读书笔记
书法作品
杜琳霞发表于:2015-04-11 14:37:04
0
0
0名同学献花
杜琳霞的全部作品
发表评论
这幅作品我给99分,还有1分是怕你骄傲!
特别喜欢你的作品,我会继续关注的!
拯救世界艺术的重任就要交给你了!
虽然看不太懂,但是好厉害的样子!
你一定是个生活充满乐趣的人!
这是一幅十分耐看的好作品!
发布评论
还可以输入
100
个字
全部评论(
0
条)
loading...
全部评论(0条)